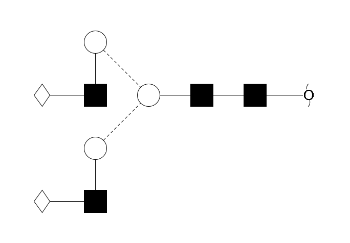
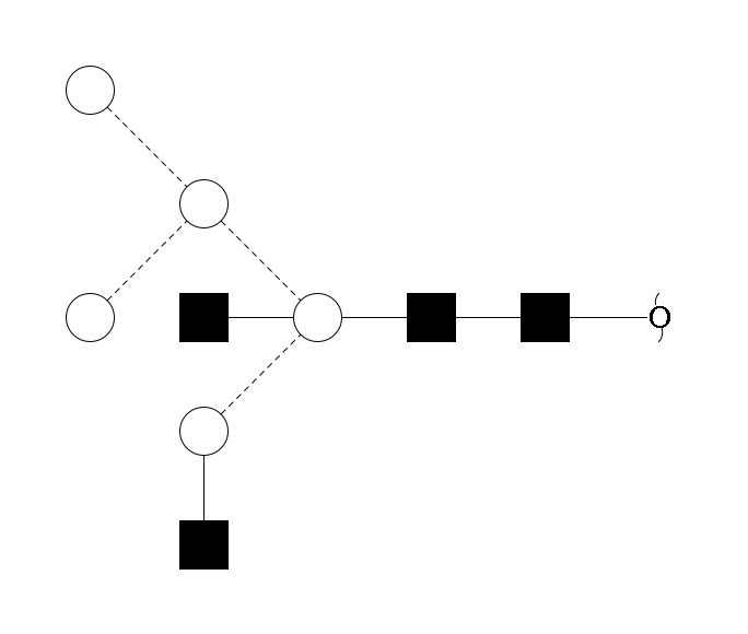
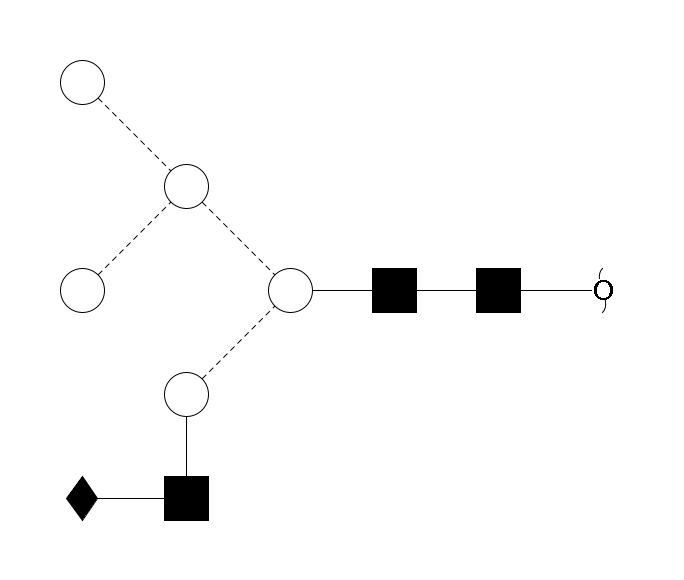
Manuscript. Valve epithelia and primary human aortic endothelial cells
GlyTouCan Accession Number:
Loading...
| Peak | Intensity |
|---|---|
| 244.1 | 0.6 |
| 261.91 | 2.5 |
| 262.2 | 2.1 |
| 273.11 | 0.4 |
| 340.85 | 0.9 |
| 357.96 | 0.7 |
| 363.93 | 0.6 |
| 381.88 | 4.3 |
| 424.53 | 1.1 |
| 425.2 | 1.7 |
| 426.05 | 1.0 |
| 443.03 | 2.7 |
| 467.17 | 1.1 |
| 482.67 | 2.2 |
| 526.09 | 0.7 |
| 536.31 | 0.6 |
| 543.67 | 2.3 |
| 544.0 | 1.8 |
| 556.13 | 1.4 |
| 556.62 | 0.9 |
| 564.59 | 0.9 |
| 586.08 | 3.2 |
| 586.47 | 1.5 |
| 603.73 | 0.5 |
| 616.29 | 1.0 |
| 616.74 | 1.5 |
| 628.42 | 1.4 |
| 637.34 | 40.0 |
| 637.84 | 6.4 |
| 638.29 | 3.7 |
| 658.13 | 5.1 |
| 659.36 | 1.1 |
| 663.24 | 2.5 |
| 664.85 | 1.5 |
| 668.48 | 0.6 |
| 688.29 | 0.7 |
| 709.54 | 0.6 |
| 718.91 | 5.4 |
| 731.32 | 2.5 |
| 737.86 | 3.2 |
| 738.79 | 1.6 |
| 739.42 | 6.6 |
| 740.6 | 1.3 |
| 749.21 | 1.2 |
| 761.81 | 1.1 |
| 769.38 | 7.5 |
| 769.7 | 6.5 |
| 770.4 | 1.2 |
| 773.49 | 1.5 |
| 790.17 | 2.8 |
| 790.56 | 4.9 |
| 791.02 | 3.0 |
| 791.43 | 3.9 |
| 850.74 | 1.0 |
| 892.11 | 2.0 |
| 895.29 | 0.6 |
| 910.12 | 4.1 |
| 951.46 | 1.2 |
| 951.82 | 2.1 |
| 952.62 | 1.0 |
| 974.27 | 1.3 |
| 1054.45 | 0.5 |
| 1082.51 | 1.2 |
| 1096.29 | 0.8 |
| 1113.43 | 2.3 |
| 1114.47 | 5.6 |
| 1148.99 | 1.0 |
| 1156.71 | 0.5 |
| 1216.45 | 0.7 |
| 1234.69 | 0.5 |
| 1239.15 | 0.8 |
| 1257.21 | 1.0 |
| 1257.63 | 0.7 |
| 1261.61 | 1.8 |
| 1271.46 | 1.9 |
| 1273.38 | 0.8 |
| 1275.48 | 2.8 |
| 1275.98 | 3.5 |
| 1276.29 | 0.7 |
| 1290.34 | 1.2 |
| 1299.51 | 7.1 |
| 1300.24 | 1.8 |
| 1300.81 | 2.6 |
| 1301.56 | 1.3 |
| 1317.55 | 4.6 |
| 1318.33 | 0.9 |
| 1318.93 | 0.5 |
| 1319.54 | 2.6 |
| 1319.94 | 1.0 |
| 1336.35 | 1.2 |
| 1378.5 | 0.5 |
| 1418.48 | 3.9 |
| 1418.74 | 1.3 |
| 1419.74 | 1.0 |
| 1421.47 | 1.5 |
| 1422.46 | 1.0 |
| 1438.45 | 0.6 |
| 1524.38 | 1.4 |
| 1542.54 | 1.4 |
| 1543.02 | 1.5 |